Корневые методы оценки качества
Поскольку корни ПФ однозначно определяют вид переходного процесса, их можно использовать для оценки: 1) запаса устойчивости и, 2) быстродействия.
Примечание: Обычно обходятся исследованием только полюсов ПФ F(s), т.е. корней характеристического уравнения 1+W(s)=0.

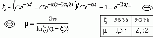
m = b/a, 0 < m < Ґ
где: a - коэффициент затухания; b - круговая частота колебаний.
Колебательность определяет другой показатель - затухание амплитуды колебаний x(t) = Ce -a t sin(bt+j) за период:
Задание определенной колебательности заставляет ограничить область расположения корней.
Колебательность системы m можно найти используя подстановку s = z e j(90-j), что соответствует повороту осей плоскости корней на угол (90-j). Далее, используя любой критей устойчивости, подбирают угол j, при котором система будет находиться на границе устойчивости. И тогда: m = tg j = b/a.
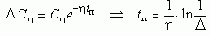
И действительно, составляющая в переходном процессе xh(t) = Che -htsin(bt+j), затухает тем медленней, чем меньше h. Если в конце переходного процесса амплитуда колебаний равна DCh, то веремя переходного процесса:
Задание определенной степени быстродействия заставляет ограничить область расположения корней.
Степень быстродействия h можно найти используя постановку s = z - hvar, что соответствует смещению корней на величину hvar. Далее, используя любой критерий устойчивости, подбирают значение hvar, при котором система будет на границе устойчивости. И тогда: h=hvar.