Интегральное регулирование
Интегральный закон регулирования имеет вид:
u(t) = Wрег(p) x(t) = k2/p x(t) ,
тогда в разомкнутом состоянии система будет характеризоваться ПФ:
W(p) = Wрег(p) Wo(p) = k2/p Wo(p) .
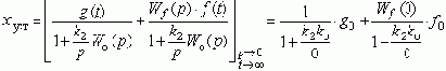
Рассмотрим уравнение ошибки:

В установившемся режиме p®0, => W(p)®Ґ; => первая составляющая ошибки g0/Ґ®0. Ошибка от возмущения зависит от вида функции Wf(0) и может быть отлична от нуля.
Резюме: I-регулирование позволяет исключить статическую ошибку в системе, т.е. система будет астатической по отношению к задающему воздействию g(t).